您的當前位置:首頁 > 產品知識 > 更多產品知識 > 超臨界轉速運轉
作者:紅星機器 發布時間:2010-10-04 00:00:00
前面導出臨界轉數公式時,曾設摩擦力與鋼球重量的切向分力相等,鋼球沒有滑動。在采用不平滑襯板和裝球率占40~50%時,這種假設是符合實際的。倘若采用摩擦系數小的平滑襯板,又減少裝球量使正壓力降低,那么,摩擦力就小到不足以平衡球荷的切向分力,鋼球于是有了滑動。
在這種情況下,盡管磨機的轉速超過用公式(2-3)算得的nc好幾倍,因為鋼球有劇烈的滑下運動,它還是不會離心化。這就是磨機超臨界轉速運轉的實質和必要的條件。R.T. 胡基在六十年代的研究指出,在適當的條件下,磨機的轉速超過nc值的20倍,鋼球還不會離心化,仍然有磨礦效果。
超臨界轉速運轉不僅在理論上突破了公式(2-5)的局限性,而且可以提高磨機的處理能力。生產實踐指出,如果應用恰當,超臨界轉速運轉可以提高磨機的生產力,雖然功率耗相應地增加,但比功率耗(即千瓦·時/噸)常常是降低的,如下表中的例子。磨機的轉速和裝球量是影響磨機生產率的兩個關鍵性的因素。超過nc值運轉固然可以提高磨機生產率,但要求減少裝球量,而減少裝球量又會使生產率降低。所以不能片面地采用大幅度提高轉速及大幅度減少裝球量的辦法,這反而會使生產率下降,如下圖3-2-6反映的情況。當裝球率減少到25%以下,即使將轉速率提高到145%,生產率也達不到裝球率為35~40%,(轉速率為110~120%的。并且轉速太高,磨機振動很厲害,也會造成危險。

要把磨機的轉速提高到超過臨界值,必須考慮原用的電動機的功率是否充足,傳動部件的強度是不是夠。磨機轉速提高后,生產率加大,和磨機構成閉路的分級機的負荷也增加,必須采取措施提高分級機的生產能力和效率,要不然由于分級機的限制,效果未必好。超臨界轉速后,鋼球與襯板之間和鋼球與鋼球之間有強烈的相對運動,磨損很厲害。為了解決這個問題,有用合金鋼制襯板和鋼球的,也有采用礦石自襯自磨的。試驗研究和生產實踐都指出:用普通磨機在超臨界轉速下進行礦石自磨,它的生產率可以達到在nc以內用鋼球磨礦的。襯板為特殊形狀,由礦石自己去填補成一層殼,以便節約鋼材。


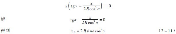
由公式(2-7)可以得到

確定B點的坐標:B點是鋼球拋落的終點,也是它開始圓運動之點,所以它的坐標xb和yb即公式(2-6)和(2-7)聯立時的公解。將公式(2-7)中的y代入公式(2-6)中,然后逐步化簡,得到

中,它的三個根x1=x2=x3=0,即兩軌這相交的坐標原點A 。在

中,第四個根即落回點B的x坐標,即

將xb的值代入公式(2-7),求得

將公式(2-12)和(2-11)比較,可以看出

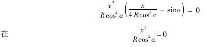
將公式(2-12)及(2-13)和公式(2-8)及(2-9)比較,可以看出

在已知脫離角a的情況下,可以根據以上各式算出各特殊點的坐標,坐作拋物落下運動時的拋物線即能準確地畫出。如果要用到以O為原點的XOY系來表示落回點B的坐標,根據移軸規則(新坐標等于舊坐標減新原點的舊坐標),將公式(2-12)和(2-13)改寫成

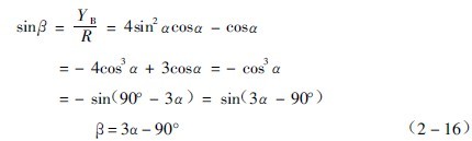
而落回角(
、鋼球中心與磨機中心的連線和X軸的夾角)可以求出為

有的研究者如高伍(Gow)認為,每一個球到達脫離點之前,都受到它后面的球上升時的推力。因此上升得較脫離點高,拋物落下也較戴維斯理論算出的遠。雖高伍根據這種方法提出了另外的計算公式,但尚未獲公認,而戴維斯理論與實際資料仍然大致符合。
如果您想了解我們的產品,可以隨時撥打我公司的銷售熱線或點擊咨詢!![]()
推薦閱讀
TOP169鄂破機價格及型號參數鄂破機
TOP257鄂破機一小時能產多少噸物料鄂破機
TOP3時產1000噸石料生產線設備有哪些?多少錢?石料生產線價格
TOP4140圓錐破時產多少石子圓錐破 圓錐破碎機
TOP5小型碎沙機多少錢一臺?碎石機
TOP6一套碎石機大概需要多少錢碎石機
TOP7生產雷蒙磨粉機(雷蒙磨)的廠家磨粉機
TOP869破碎機一小時處理多少立方石子?破碎機 69顎式破碎機
TOP91060顎破型號有哪些?什么價?顎破 顎式破碎機
TOP10每小時產200噸的石子破碎機多少錢一臺?破碎機
TOP11時產500噸石子生產線配置方案_廠家報價生產線
TOP12銷量較好的雷蒙磨粉機型號有哪些雷蒙磨粉機
換一換 ![]()
想讓資深工程師為您設計生產方案?想獲取全套設備優惠報價單?請留言,專業經理即刻開始為您一對一服務?。ú挥脫男畔⑿孤?,我們將為客戶提供信息保密服務!)
來廠考察即可獲取資深工程師為您設計方案
多機型現貨可選,簽訂合同,2天內發出
售后團隊親臨現場,指導設備安裝、試車,完成交付
跟蹤砂場運營情況,提供生產運營指導,保障砂場快速盈利
河南紅星礦山機器有限公司 總部地址:鄭州市高新區梧桐街與紅松路交叉口中國高端礦機生產出口基地園區
工程師免費設計方案已有162位獲得心儀的方案
算一算 搭配一條合適的生產線需要多少錢?
點擊獲取報價