您的當前位置:首頁 > 產品知識 > 更多產品知識 > 鋼球直徑的半理論公式推導——鋼球的打擊動能En
作者:紅星機器 發布時間:2019-04-08 08:43:09
圖1中表示拋落運動狀態下鋼球的運動軌跡。鋼球從落回點B隨筒體一起作圓運動上升至脫離點A,然后從A點作拋落運動落回到點B,完成一個運動周期。



鋼球落到落回點B時,其速度vp可分解為從磨機中心到落回點B方向的法向分速度vn及與筒體圓周相切的切向速度v1。法向速度vn用于沖擊礦塊,切向速度v1沿筒壁切線方向對礦塊或礦粒產生磨剝作用。這里主要考慮鋼球對礦塊的沖擊作用,故未考慮v1。
根據戴維斯及列文松等人的理論,vn為:


式中 R1———磨機的內半徑。
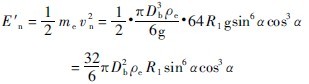
于是,具有有效質量me,及法向速度vn的鋼球落到落回點時具有的法向動能En為:

又因D=2R1,故上式為:

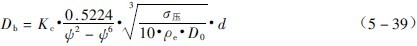
前面考慮的是處于R1位置外層球上的鋼球。但外層球工作有利并不意味整個球荷工作都有利。現假設全部球荷質量集中在某一層球上,這層球稱“中間縮聚層”,此層球的球層直徑為D0。根據扇形對O點的極轉動慣量半徑的求法可得:

式中; R1、R2————外層和內層球的球層半徑。k=R2/R1,k與轉速率
和裝球率
有關,k可直接由表3-5-3中查取。又D0=2R0,則“中間縮聚層”上的一個球落到落回點襯板上的法向沖擊動能En為


如果您想了解我們的產品,可以隨時撥打我公司的銷售熱線或點擊咨詢!![]()
推薦閱讀
TOP169鄂破機價格及型號參數鄂破機
TOP257鄂破機一小時能產多少噸物料鄂破機
TOP3時產1000噸石料生產線設備有哪些?多少錢?石料生產線價格
TOP4140圓錐破時產多少石子圓錐破 圓錐破碎機
TOP5小型碎沙機多少錢一臺?碎石機
TOP6一套碎石機大概需要多少錢碎石機
TOP7生產雷蒙磨粉機(雷蒙磨)的廠家磨粉機
TOP869破碎機一小時處理多少立方石子?破碎機 69顎式破碎機
TOP91060顎破型號有哪些?什么價?顎破 顎式破碎機
TOP10每小時產200噸的石子破碎機多少錢一臺?破碎機
TOP11時產500噸石子生產線配置方案_廠家報價生產線
TOP12銷量較好的雷蒙磨粉機型號有哪些雷蒙磨粉機
換一換 ![]()
想讓資深工程師為您設計生產方案?想獲取全套設備優惠報價單?請留言,專業經理即刻開始為您一對一服務!(不用擔心信息泄露,我們將為客戶提供信息保密服務!)
來廠考察即可獲取資深工程師為您設計方案
多機型現貨可選,簽訂合同,2天內發出
售后團隊親臨現場,指導設備安裝、試車,完成交付
跟蹤砂場運營情況,提供生產運營指導,保障砂場快速盈利
由巖礦塊破碎所需要的破壞力來選擇鋼球尺寸在理論上是可行的,而且是科學的。下面詳細介紹如何根據巖礦抗破壞性能來選擇鋼球尺寸...
201010.11
查看詳情鋼球直徑的半理論公式推導——礦塊或礦粒的抗破壞能量E的推導過程。...
201010.11
查看詳情鋼球直徑的半理論公式推導——鋼球直徑的半理論公式與經驗修正如下文所述。...
201010.11
查看詳情河南紅星礦山機器有限公司 總部地址:鄭州市高新區梧桐街與紅松路交叉口中國高端礦機生產出口基地園區
工程師免費設計方案已有162位獲得心儀的方案
算一算 搭配一條合適的生產線需要多少錢?
點擊獲取報價