您的當前位置:首頁 > 產品知識 > 更多產品知識 > 決定磨機轉速的方法
作者:紅星機器 發布時間:2019-04-08 08:45:36
在拋落式工作的磨機中,磨礦作用主要來自鋼球落下時的動能。此動能的大小,與鋼球的落下高度(H)有關,而鋼球的落下高度又決定于磨機的轉速。根據前面的論述,必然可從鋼球更大落下高度來決定磨機的合適轉速。照此理,將公式(2-29)取導數,并令它等于零,就可以求出使鋼球有拋物落下高度時的脫離角,再從它找到相應的轉速。
![]()
故![]()
![]()
此值與前面講的v1=0(即vp=vn)時的脫離角
很接近。
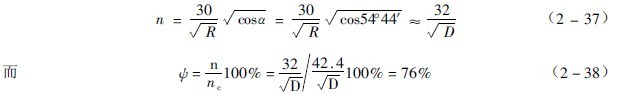
應用公式(2-36)來決定轉速時,有兩種方法。首先用外層球有落下高度來定轉速。若取外層球的半徑即磨機的內半徑,由公式(2-2)得到

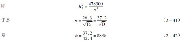
這種辦法只考慮外層球處于適宜狀態,其他層球則未必處于適宜狀態,裝球越多,不適宜的球層也越多,故不是合理的辦法。求得的轉速率較低,不能保證球荷作拋落式工作,現在轉速較低的磨機采用此法。第二種用球荷的回轉半徑與脫離角的關系來推算。設想全部球荷的質量集中在某一層球,此層球可以代表全部球荷,它的球層半徑(R0)就是全部球荷繞磨機中心(O)作圓運動的回轉半徑。根據扇形對O點的極轉動慣量中徑的求法,可以得到
![]()
當此層球有拋物落下高度時,a0=
,從而
![]()

這種方法比前一種較合理,因為考慮了全部球荷。生產中轉速較高的磨機,采用這種方法。
本篇內容于 2019-04-08 08:45:36 已補充更新如果您想了解我們的產品,可以隨時撥打我公司的銷售熱線或點擊咨詢!![]()
推薦閱讀
TOP169鄂破機價格及型號參數鄂破機
TOP257鄂破機一小時能產多少噸物料鄂破機
TOP3時產1000噸石料生產線設備有哪些?多少錢?石料生產線價格
TOP4140圓錐破時產多少石子圓錐破 圓錐破碎機
TOP5小型碎沙機多少錢一臺?碎石機
TOP6一套碎石機大概需要多少錢碎石機
TOP7生產雷蒙磨粉機(雷蒙磨)的廠家磨粉機
TOP869破碎機一小時處理多少立方石子?破碎機 69顎式破碎機
TOP91060顎破型號有哪些?什么價?顎破 顎式破碎機
TOP10每小時產200噸的石子破碎機多少錢一臺?破碎機
TOP11時產500噸石子生產線配置方案_廠家報價生產線
TOP12銷量較好的雷蒙磨粉機型號有哪些雷蒙磨粉機
換一換 ![]()
想讓資深工程師為您設計生產方案?想獲取全套設備優惠報價單?請留言,專業經理即刻開始為您一對一服務?。ú挥脫男畔⑿孤叮覀儗榭蛻籼峁┬畔⒈C芊眨。?/p>
來廠考察即可獲取資深工程師為您設計方案
多機型現貨可選,簽訂合同,2天內發出
售后團隊親臨現場,指導設備安裝、試車,完成交付
跟蹤砂場運營情況,提供生產運營指導,保障砂場快速盈利
球磨機是礦山選礦中必不可少的關鍵設備,而對于球磨機來講,球磨機的轉速又是是決定研磨效率的關鍵因素...
201103.25
查看詳情河南紅星礦山機器有限公司 總部地址:鄭州市高新區梧桐街與紅松路交叉口中國高端礦機生產出口基地園區
工程師免費設計方案已有162位獲得心儀的方案
算一算 搭配一條合適的生產線需要多少錢?
點擊獲取報價