您的當前位置:首頁 > 產品知識 > 更多產品知識 > 球荷的循環次數
作者:紅星機器 發布時間:2017-06-21 17:57:38
鋼球受力而產生運動,在分析這種運動過程中,描述了鋼球的軌跡。研究鋼球運動學的目的,在于建立決定轉速、裝球率、有用功率和生產率的基礎。從鋼球產生的磨礦作用來看,這些都必然與鋼球對礦石的沖擊次數有關。
磨機一直是作圓運動的,但其中的鋼球的運動軌跡,一部分是圓曲線,另一部分是拋物線。因此,磨機轉一轉,鋼球的運動未必也就是一個循環。從圖3-2-10可以看出,鋼球從脫離點A真拋到落回點B,比圓運動快,因而鋼球總是超前的,換句話說,磨機轉一轉時,鋼球不只循環運動一次。設%"是鋼球作圓運動的時間,當磨機轉一轉時,用同樣速度作圓運動的鋼球轉過的圓心角為
,因此
![]()
由公式(2-38)可知

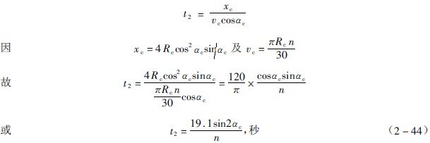
設t2為鋼球作拋物落下的時間,取Ac點為坐標原點,則

從而鋼球運動一個循環需要的時間為
![]()
磨機轉一轉鋼球的循環次數于是為
![]()
由此式可知:鋼球的循環次數取決于脫離角ac。當磨機轉速不變時,不同的球層有不同的脫離角,它的循環次數也不同。磨機的轉速越高,ac越小,循環次數也越少。到了鋼球離心化時,ac=0,J=1,鋼球貼在襯板上與磨機一起轉動。
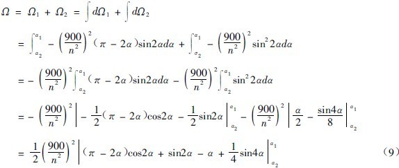
再從全部球荷來看,如圖3-2-13,在磨機轉一周的時間內,沿圓形軌跡經過斷面AB的球的體積為
![]()
此處的L為磨機長:K=![]()
設
為裝球率,磨機內裝球的體積為
。如果磨機轉一轉,全部鋼球循環J次,則

于是 ![]()
公式(2-20),指明
,所以R2(或由它算出的K)的值依從轉速n而有一極限值。超過此極小值,多加的那些球就不能作拋物落下。所以上式中的J,既與裝球率
有關,又通過K值而與磨機的轉速有關。如圖3-2-14表示的情況。圖中曲線說明:轉速率越大的,在同樣裝球率下,K值也越大,J值卻較小。如果轉速率相同,裝球率越多,K值越小,J值卻較大。這就是轉速、裝球量和影響沖擊量的鋼球循環次數的相互關系,從而況明了正確決定磨機轉速的重要性。〔附〕圖3-2-9中K、
和
的關系式的證明裝球率(
)與球荷切面積(
)的關系為
![]()
球荷切面積包含作圓曲線運動的切面積(
1)和作拋物線運動的切面積(
2)兩部分,即
![]()
故須先求出
1和
2。
如下圖,任取一球層,它的半徑是R,此層球從落回點B作圓運動到脫離點A經歷的圓弧所對的圓心角
為
![]()
當球層半徑的變化為dR時,弧形面積的變化為
![]()
因
則
![]()
于是

球荷作拋物線運動的微分球荷截面積為:
![]()
式中的
為筒體的角速度,t2為球在拋物線軌跡上運動的時間,
![]()
故

球荷截面積因此為

因![]()
故![]()
將此式代入公式(1)后,得到
![]()
下面作一例題說明公式(11)的用法。
例:設磨機直徑為D,它的每分鐘轉數是
,試用公式(11)計算它的K、
和
的對應值。
解:計算此種題目的步驟如下:
1.根據
從給定的
值算出a1;
2.因必須a2>a1,依次選取任意角a2;
3.由于角a1和a2用公式(11)算出
;
4.根據算出
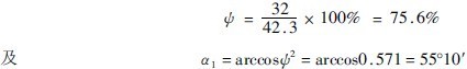
由題中給的數據,求得:


![]()
![]()
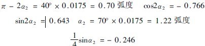
選取a2為70。進行計算。

![]()
![]()



上一篇:礦石自磨與礫磨工藝技術及設備
下一篇:決定磨機轉速的方法
如果您想了解我們的產品,可以隨時撥打我公司的銷售熱線或點擊咨詢!![]()
推薦閱讀
TOP169鄂破機價格及型號參數鄂破機
TOP257鄂破機一小時能產多少噸物料鄂破機
TOP3時產1000噸石料生產線設備有哪些?多少錢?石料生產線價格
TOP4140圓錐破時產多少石子圓錐破 圓錐破碎機
TOP5小型碎沙機多少錢一臺?碎石機
TOP6一套碎石機大概需要多少錢碎石機
TOP7生產雷蒙磨粉機(雷蒙磨)的廠家磨粉機
TOP869破碎機一小時處理多少立方石子?破碎機 69顎式破碎機
TOP91060顎破型號有哪些?什么價?顎破 顎式破碎機
TOP10每小時產200噸的石子破碎機多少錢一臺?破碎機
TOP11時產500噸石子生產線配置方案_廠家報價生產線
TOP12銷量較好的雷蒙磨粉機型號有哪些雷蒙磨粉機
換一換 ![]()
想讓資深工程師為您設計生產方案?想獲取全套設備優惠報價單?請留言,專業經理即刻開始為您一對一服務!(不用擔心信息泄露,我們將為客戶提供信息保密服務!)
來廠考察即可獲取資深工程師為您設計方案
多機型現貨可選,簽訂合同,2天內發出
售后團隊親臨現場,指導設備安裝、試車,完成交付
跟蹤砂場運營情況,提供生產運營指導,保障砂場快速盈利
河南紅星礦山機器有限公司 總部地址:鄭州市高新區梧桐街與紅松路交叉口中國高端礦機生產出口基地園區
工程師免費設計方案已有162位獲得心儀的方案
算一算 搭配一條合適的生產線需要多少錢?
點擊獲取報價